banner
Journal

A power-aware task scheduler for energy harvesting-based wearable biomedical systems using snake optimizer

By
Yousri R.
Elbayoumi M.
Soltan A.
Darweesh M.S.

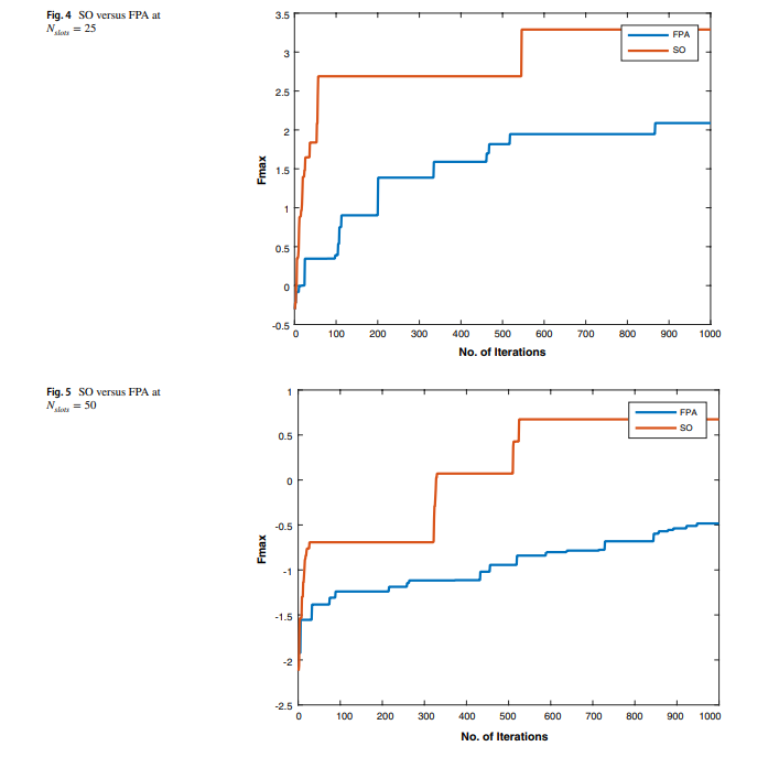
There is an increasing interest in energy harvesting for wearable biomedical devices. This requires power conservation and management to ensure long-term and steady operation. Hence, task scheduling algorithms will be used throughout this work to provide a reliable solution to minimize energy consumption while considering the system operation constraints. This study proposes a novel power-aware task scheduler to manage system operations. For example, we used the scheduler to handle system operations, including heart rate and temperature sensors. Two optimization techniques have been used to illustrate the impact of task scheduling on energy consumption. The first is based on Snake Optimizer (SO), and the second is a greedy approach to compute the Hamming-based Tikhonov regularization. The FPA approach showed 50% improvement in the convergence time for the scheduler. © 2023, The Author(s).